2025考研数学三真题及答案解析汇总

2024/12/25 10:30:16 来源: 网络
分享:

  在2025考研初试数学考试结束后,知道大家都在关注2025年考研真题及解析,海天考研网为各位考生带来2025考研数学三真题及解析汇总,包括考研数学三选择题、填空题和解答题3大部分,助力各位考生备考。

1.png

2.png

3.png

5.png

6.png

7.png

8.png

9.png

10.png

12.png

13.png

微信图片_20241220105344.jpg

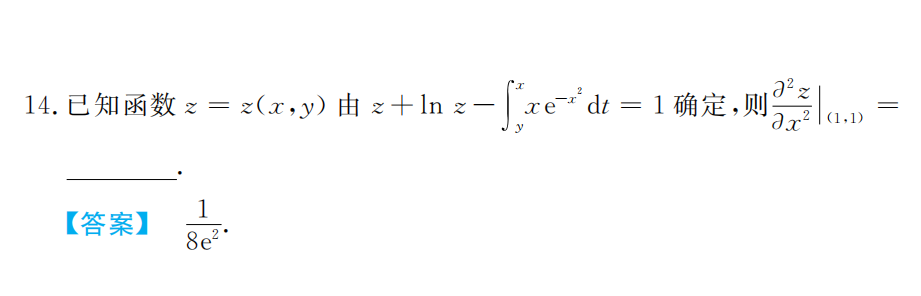
14.png

15.png

16.png

17.png

  以上就是海天考研网为各位考生整理的2025考研数学三真题及答案解析汇总,仅限参考。持续为考研学子更新其他考研科目考研真题及答案解析,各位考生可以根据自身需要关注收藏,及时查看完整版2025考研真题及答案解析。

中间广告图.jpg

活动专题